Medigene - Sachliche und fachliche Beiträge

Seite 22 von 802
neuester Beitrag:  28.03.25 22:03
eröffnet am: 19.06.10 22:41 von: starwarrior03 Anzahl Beiträge: 20050
neuester Beitrag: 28.03.25 22:03 von: RichyBerlin Leser gesamt: 5858430
davon Heute: 884
bewertet mit 63 Sternen

Seite:  Zurück   21  |     |  23    von   802     
15.11.10 18:59 #526 ;-) danke, bin noch dabei!
15.11.10 20:22 #527 Börsenschluß..
MDG Aktie schließt über 2€!

Xetra Schlußkurs: 17:36:18 mit 2,000€ +0,155€ +8,40%
Frankfurt letzter Trade: 19:53:45 mit 2,027€ +0,148€ +7,88%
München letzter Trade: 19:44:37 mit 2,027€ +0,247€ +13,88%
Stuttgart letzter Trade: 18:06:05 mit 2,028€ +0,163€ +8,74%

Tradegate letzter Trade: 20:05:14 mit 2,026
L&S taxt 2Eu, und tradegate letzter Trade..  
15.11.10 20:54 #528 Reges Treiben auch bei den Optionen..
Es wurden nur KO´s gehandelt heute, im Wert von über 10K Euro.. Wieder vermehrt der Call mit KO 1,61 CM5SR5.. Hier mal zum Wochenbeginn die Übersicht..  

Angehängte Grafik:
php.png (verkleinert auf 63%) vergrößern
php.png
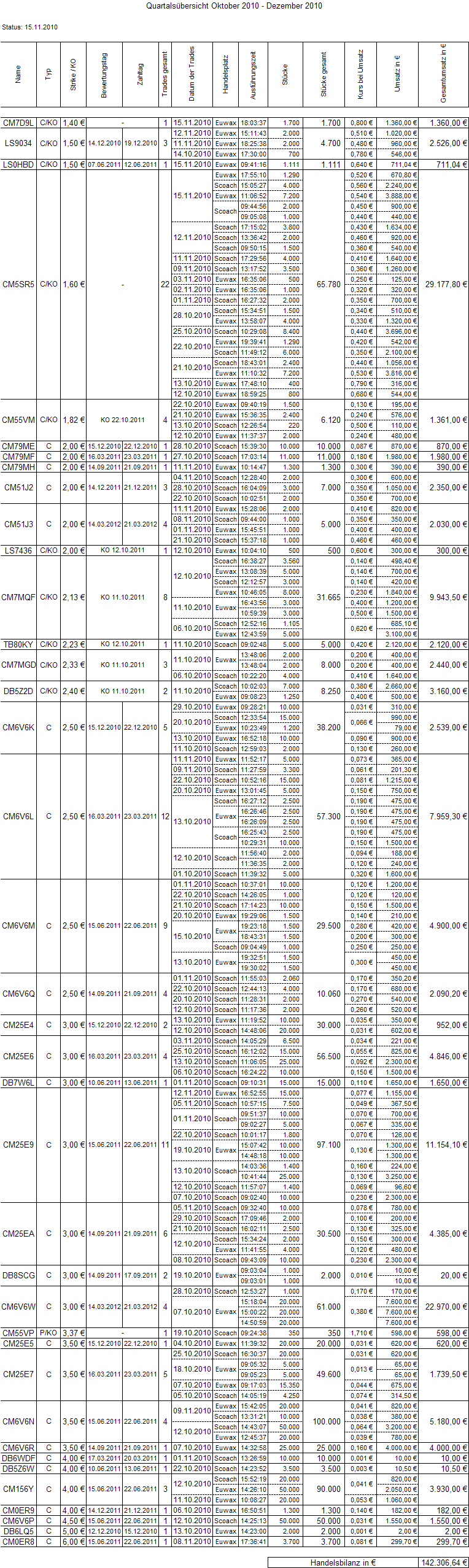
15.11.10 21:31 #529 bisherige Q4 Optionsscheinhandelübersicht zu M.
mal zur Halbzeit des 4.Quartals "große" Map.. 142K Euro wurden bis jetzt umgesetzt in Q4. Rege wie schon lange nicht mehr..


Status List 01.10.10-15.11.10  

Angehängte Grafik:
php1.png (verkleinert auf 66%) vergrößern
php1.png
16.11.10 10:22 #530 Die Aktie behauptet ihren Stand..
 

Angehängte Grafik:
php.png
php.png
16.11.10 10:40 #531 für die Interessierten..
es gibt eine neue Unternehmenspräsentation MDG auf der HP..

Hier der Link ==> http://www.medigene.de/mediadb/22372/22373/...CompanyPresentation.pdf

Bei manchen Folien der Präsentation ist oben in der linken Ecke so ne Art Sprichblase miteingefügt, dort nähere Erläuterungen mit dabei zum Folieninhalt, z.B. zur Restrukturierung, zu Veregen usw..

Grüße @ all und @ WO´ler  
16.11.10 10:44 #532 ups.. Sprichblase = Sprechblase.. passiert, lol
braucht man nur auf diese zu klicken auf der Folie und es öffnet sich ein Kommentar, Erläuterung zur Folie..  
16.11.10 12:32 #533 sieht ganz gut aus
Die Präsie, die der star reingestellt hat macht auf mich einen sehr guten Eindruck. Sie ist transparent und aufschlussreich und zeigt die wichtigsten Zahlen in einem Überblick.

Bei aller vorhergehenden Kritik muss man auch einmal anerkennend sagen: Gut gemacht FM  

Bewertung:
1

16.11.10 12:34 #534 zur Präsentation
sie lehnt eigentlich stark am Q3 zahlenwerk an und die Kommentare zu den Folien sind aus der Konferenz, als CFO Christ darüber sprach..

bei Veregen interessant die Aussage "Line extension potentialin other non-melanoma skin cancers" - (will man sich da doch noch auf andere Indikationen konzentrieren, oder will man das Produkt damit "schmackhafter" machen)
und "Further partnerships under negotiation", also weitere Verhandlungen zwecks Neuabschlüssen..

bei Rhudex steht auch nochmal dabei - Program to be out-licensed after clinical proof of concept, also kann man davon ausgehen, das das Programm auch bis dahin "weitergeführt" wird..

EndoTag wird nochmal die besten Daten in Sachen BSDK vorgewiesen, das Ergebnis der P2 TRNBC und das Verhandlungen "ongoing" sind..

und ein MDG Häusle ist auch wieder dabei.. Zeigt allerdings die AKTUELLE SITUATION (grüße @R @WO), und kein zukünftiges Haus mehr mit Plan 2015..

Kann man 50/50 sehen diese Präsentation.. Einmal, das die Zahlen eben deutlich besser werden und man erfolgreich umstrukturiert hat. Und eben einmal so  - die Braut hat sich "hübsch" gemacht und wartet auf den Bräutigam.. ;0)  

Angehängte Grafik:
php.png (verkleinert auf 47%) vergrößern
php.png
16.11.10 13:18 #535 Tageschart...
hält sich im Plus! +0,020€ +1,00%  

Angehängte Grafik:
php.png (verkleinert auf 64%) vergrößern
php.png
16.11.10 13:26 #536 noc mal etwas zur Stimmrechtsmitteilung gest.
hoffentlich ist da der Wortlaut korrekt.. lol.. weil ich zweifle dran, das Syngenta per 10.11. den Bestand "genullt" hat.. In anderen Foren wird/wurde ja auch drüber diskutiert..

Ob da ein Zahlendreher passiert ist??

Jedenfalls würde es mehr Sinn ergeben wenn nicht der 10.11. gemeint wäre (höchstens als Enddatum des letzten Verkaufs von Stimmrechten, also den Abschluß des Verkaufs seitens Syngenta), sondern der 11.10.!! DENN - ab da setzte der Kursrutsch ja mit deutlich höheren Stückzahlen ein.. UND - ich hab schon öfters Post aus der Schweiz gehabt, wo das Datumsformat dem amerkianschen Datumsvormat angelehnt ist, also Zahlendreher evtl??

Jedenfalls gibt es eine Bestätigung seitens Syngenta das die Anteile NICHT an einem Tag verkauft wurden, sondern "über einen Zeitraum", was die Stimmrechtemitteilung so gar nicht wiederspiegelt im Wortlaut, in der ja wie gesagt auch das Verhältnis Syngenta Protection zu Syngenta nach §22WpHG usw fehlt..

Naja, jednefalls ist sicher - Syngenta ist raus - aber wer ist rein dafür?? Es ist bei dem Freefloat gut möglich, sich mit mehreren Investmentgesellschaften Anteile unter der Meldeschwelle 3% zu halten, aber würde das einer tun?? Eigentlich immer noch spannende Kiste, egal ob nun kein Lineup mehr zu EndoTag gegeben wird - da ist was am köcheln!

Meine Meinung, keine Empfehlung..  
16.11.10 13:36 #537 bei Tradegate ist einer mutig...
Brief leegeräumt..

2010-11-16 13:15:42 2 200 2,068€!!  
16.11.10 14:07 #538 Was sinnvoll wäre im Moment, wäre eigentlich.
einen finanzstarken Biotanker zu "basteln".. Her Hopp - halten sie Medigene Aktien?? Verschmelzung GPC/WL6 mit MDG.. Ein Tanker mit fast 100Mio Cash.. Und wenn dann noch EndoTag zu Gold gemacht wird seitens MDG, steht diese komplett neue Bio AG mit einem riesen Cashpolster da.. Für F&E.. Und einer breiten Pipe mit mehreren aussichtsreichen P3´s, P2´s usw.. Man hätte durch MDG Produkte am Markt die Umsätze generieren für die gesamt AG und bei Wilex schlummern ebenso "Dealchancen" wie bei MDG.. Also das wär in meinen Augen eine sehr gute Lösung, besser als wie dieses kleine Bioklitschen hin und her und KE haste nicht gesehen..

Jetzt wäre die Chance da, was wirklich hofentlich erfolgreiches aufzubauen Herr Hopp.. Mit Rendite hintenraus!

Als "Großaktionäre" dieser AG wären Hopp, UCB aus Belgien, Santo und TVM im Boot.. für 5-7Eu als Angebot in Sachen Verschmelzung zu dieser Ag an mich als MDG Aktionär, würde ich zusagen.. Würde mir dann allerdings auch im gegenzug ein Tauschverhältnis gerne betrachten, um als MDG Aktionär in diese AG "geschleust" zu werden..

ALLES NUR MEINE SPEKULATION!! JEDENFALLS WÜRDE ICH ALS GROßAKTIONÄR SO EINEN BIOKONZERN AUFBAUEN! CASH WÄR GENÜGEND DA.. ;o)  
16.11.10 15:09 #539 Grad was zu Catherex gefunden habe...
Catherex, Inc. soll ja die neue Firma sein, die aus der oHSV Technologieauslizensierung enstehen soll.. Aber das letzte was da war, das 5Mio als Cash in Sachen Investition gesucht wurden, sprich weitere Privatinvestoren.. Jedenfalls hab ich für Catherex, Inc auch dies gefunden..

Applicant Name: Catherex Inc.
Project Name: Clinical development of G207 oncolytic HSV cancer therapy for brain cancer.  
Grants Awarded for 2010: $ 244,479.24

Das ganze kommt aus dem ==> Qualifying Therapeutic Discovery Project Grants for the State of Pennsylvania.. Das ist insg. Pennsylvania $ 48,105,100.69 schwer dieses Project..

Also geht da in Sachen Catherex doch etwas..

Hier der Link dazu: http://www.irs.gov/businesses/small/article/0,,id=229011,00.html

Gruß..  
16.11.10 15:15 #540 was man anhand des Linkes sieht..
ist die Aufstellunge sämtlicher Companies und deren "Grants"..

Die 244.479,24 $ sind übrigens der Höchstbetrag für 2010 der jeweils ausgezahlt wird..

Gruß  
16.11.10 21:57 #541 Optionsscheinstatistik
Morgen kommt auch ein neuer OS von L&S an den Markt.. TurboCall Mit KO 1,90!! Eher was für Zocker, wenn der Kurs knapp 3% über dieser Schwelle liegt..

WKN: LS0KNV
ISIN: DE000LS0KNV2
Bewertrungstag: 07.06.2011
Zahltag: 12.06.2011  

Angehängte Grafik:
php.png (verkleinert auf 65%) vergrößern
php.png
17.11.10 11:28 #542 bissl was buntes..
Aktie sollte nach Test 1,95 wieder drehen.. Ziel wäre nach wie vor erst einmal die 2,05 zu überwinden, um die Bewegung nach oben fortzusetzen..

Hält die 1,95 nicht, wäre Rückgang in die Zone 1,85/88 denkbar, wobei 1,85 ein Widerstand darstellen sollte..

Die 2Eu halte ich eher für eine psychologische Marke.. Nach unten sichern weiter 1,80/1,74/1,65 als mögliche Widerstände..

Kurzfristig kreuzt MACD und Stochastik negariv, Volumen ist rückläufig.. Mögliche Seitwärtsbewegung zw.  1,95-2,05.. Nur mit wieder anziehenden Volumen und Käufen, kann eine weitere Bewegung Richtung 2,17/18 einsetzen.. Und schlechtes Marktumfeld hilft "uns" auch nicht viel, drumherum..

Meine Meinung, KEINE EMPFEHLUNG..  

Angehängte Grafik:
php.png (verkleinert auf 65%) vergrößern
php.png
17.11.10 12:54 #543 noch etwas zum Ausstieg Syngenta..
Da müssen intern Entscheidungen gefallen sein bei Syngenta.. Sowohl was da Deinvest MDg angeht als auch der nächste Schritt den man seitens Syngenta geht - "Der Schweizer Agrar-Konzern Syngenta darf die Sonnenblumensparte des US-Unternehmens Monsanto übernehmen"..

Also scheint der Ausstieg Syngentas bei MDG nur rein strategische Ausrichtung als Grund zu haben.. Und da man die Aktien damals im Velauf der Avidex Übernahme durch Medigene ja für "n Appel und n Ei" bekommen hat, auf gut Deutsch, hat man sich jetzt irgend ne Summe zw 1,5-2,0Mio an der Börse "reingeholt" durch den Verkauf.. Ob das irgendwas mit dem Geschäftsgebaren MDG´s zu tun hatte, der Ausstieg - ich glaub es nicht so ganz..  
17.11.10 16:57 #544 Kurs pendelt um den gestrigen SK und die 1,9.
Tendenz scheint zu einem SK um 1,94 evtl. tiefer.. grob +/- 0..

Die Geldseite im OB ist heute deutlich schwächer wie die letzten Tage..

Morgen dann entscheident für einen kurzfristigen Trend, ob Richtung 1,88/85 oder zurück zur 2Eu Marke?..  

Angehängte Grafik:
php.png (verkleinert auf 63%) vergrößern
php.png
17.11.10 20:22 #545 @starwarrior03
danke für die vielen Ausführungen zur Aktie, obwohl vieles doppelt ;-)
Da das Verkaufsignal beim DAX immer noch gilt, wird es hier vielleicht noch eine Weile seitwärts gehen, obwohl Donnerstag ist eigentlich immer ein guter Börsentag... nun, ich meine, es besteht (noch) die Gefahr um die 1,90 ausgestoppt zu werden... also SL besser nicht zu hoch ansetzen.
18.11.10 18:32 #546 mal wieder typischer Medigääääähnetag
Ringsrum Purzelbäume, Sektkorken, Party, Kaufrausch - und bei MDG - alles tot, rauschen, kein Mucks zu hören.. lichter aus.. Gehmma haam.. Und zack sind "wir" bei 1,90 auf SK Basis... Sogar um 0,001€ unter der 30Tage Linie.. lol..

Man man man...

´s beste wäre, ma klebt ringsrum an deren Fenster mal nen 5jahreschart.. Damit ´se jeden Tag sehn, was für ein Berg man da erklimmen will, den man bis jetzt so mit mir nichts dir nichts kopflos runterjongliert.. und das es besser ist Worten auch mal Taten folgen zu lassen..

Morgen Test Widerstand 1,85 vorher 1,88?? Hält das nicht, kann es wieder gen 1,80 bis 1,74 gehen.. Hoffe aber auf Gegenreaktion bei 1,85/88, aus dieser Konsolidierung seit Di heraus zurück Psychomarke 2...

10,5 Jahre MDG an der Börse.. au manne.. Aber so sind se eben die Bio´s.. :o)  
18.11.10 18:49 #547 Ist ja auch wieder so ein Witz...
kam ja gestern erst raus.. der OS von L&S mit KO 1,90.. weg isser...

WKN: LS0KNV
ISIN: DE000LS0KNV2
Bewertrungstag: 07.06.2011
Zahltag: 12.06.2011  
19.11.10 10:36 #548 Umsatz von Veregen...
ist ja nicht gerade berauschend. Hab mal im Internet nachgeforscht wie das Medikament so bei den Patienten ankommt und wirkt. Hier mal ein interessanter Link.

http://www.med1.de/Forum/HPV/543075/

Interessant ist unter anderem die Geschichte von dem Patienten "Sanostol".

Anscheinend muss die Behandlung eine echte Tortour sein. Aber es soll tatsächlich
das Beste Präparat derzeit auf dem Markt sein.
Erschreckend ist aber die Unwissenheit vieler Ärzte über die Wirkungsweise und den Symptomen während der Behandlungszeit.  

Bewertung:
2

19.11.10 14:14 #549 Chrttechnik
Chartanalyse (Quelle: Trading Central)
19.11. 10:25 Medigene : Technische Analyse

https://www.cortalconsors.de/Kurse-Maerkte/Aktien/...-ON?exchange=GER  

Angehängte Grafik:
php.png (verkleinert auf 86%) vergrößern
php.png
19.11.10 21:40 #550 Optionsscheinstatistik der Woche und Monat N.
 

Angehängte Grafik:
php.png (verkleinert auf 65%) vergrößern
php.png
Seite:  Zurück   21  |     |  23    von   802     
Antwort einfügen - nach oben
Lesezeichen mit Kommentar auf diesen Thread setzen: