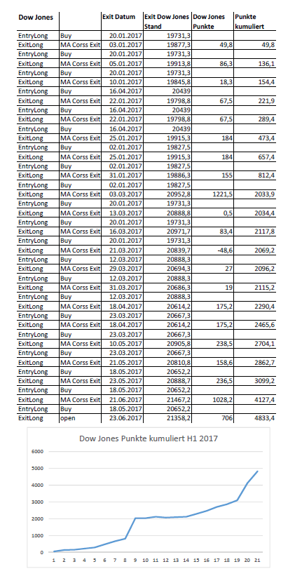
Daily End of Day Trading
|
Seite 2 von 5
neuester Beitrag: 18.02.20 04:23
|
||||
| eröffnet am: | 24.04.17 22:24 von: | trade365.de | Anzahl Beiträge: | 101 |
| neuester Beitrag: | 18.02.20 04:23 von: | unabvircount2000 | Leser gesamt: | 58593 |
| davon Heute: | 2 | |||
| bewertet mit 2 Sternen |
||||
|
Seite:
1
|
2
|
||||
Optionen
Seite:
1
|
1
|
2



