Geheimfavorit??

Seite 9 von 10
neuester Beitrag:  25.04.21 00:10
eröffnet am: 15.03.07 19:53 von: KR2103 Anzahl Beiträge: 240
neuester Beitrag: 25.04.21 00:10 von: Monikammjva Leser gesamt: 127251
davon Heute: 28
bewertet mit 5 Sternen

Seite:  Zurück   6  |  7  |  8  |    10    von   10     
23.11.17 23:30 #201 @Scansoft: ich meinte CEO der Opera Softwa.
http://www.operasoftware.com/press/executive-team

sollte bei der Führung  AdColony schwarze Zahlen schreiben wird AdColony sofort verkauft usw.
 

Bewertung:

27.11.17 14:26 #202 ARP läuft wieder
insgesamt 280.000 Stück die letzten 2 Tage zurückgekauft.  Nettocash dürfte Ende des Jahres wieder so bei $ 94 Mio liegen, wenn in Q4 nichts verbrannt wird. Ganz abgeschrieben habe ich das Teil noch nicht. Aber aktuell muss man Opera nicht zwingend haben.  

Bewertung:
1

28.11.17 11:46 #203 @scansoft
Bemobi dürfte nach m.M. relativ sicher 30 Mio EBITDA in 2018 bringen. Was erwartest du von AdColony für 2018 im Basisszenario?  

Bewertung:

28.11.17 11:55 #204 In $
versteht sich.  

Bewertung:

28.11.17 13:18 #205 Wenn man den Aussagen
des Vorstands glaubt, geht er bei AC von 400 Mill.Umsatz, einer Bruttomarge von 32% und OPEX von 90-95 aus, EBITDA dürfte daher im Bereich von 30-40 Mill. liegen. Allerdings ist dies natürlich alles Makulatur, wenn AC weiter schrumpft.
-----------
The vision to see, the courage to buy and the patience to hold
28.11.17 15:56 #206 Wenn man den Umsatz bei
AC stabil halten kann und keine weiteren Restrukturierungsmaßnahmen erforderlich sind und AC nächstes Jahr 30 Mio EBITDA schafft, dann müsste zusammen mit Bemobi $ 60 Mio EBITDA drin sein.
Da die Kaufpreiszahlung bis Ende des Jahres nochmals 32,7 Mio in die Kassen  spült (vorerst 85% v. 38,5 Mio) könnte man für 2018 ein EV / EBITDA von ca. 5 aufweisen. Das wäre alles andere als teuer. Problem ist halt, dass das Vertrauen in die Prognosen des Managements erstmals dahin sind.
 

Bewertung:
1

13.12.17 13:00 #207 Uih
War ja für die Verhältnisse der letzten Wochen ein echter kleiner Kurssprung gestern...  

Bewertung:

23.12.17 11:02 #208 AdColony

Tittel Otello Corporation announces termination of AdColony CEO
http://www.newsweb.no/newsweb/search.do?messageId=441471  

Bewertung:
1

29.01.18 15:02 #209 Opera Software wird zu Otello Corporation
Nachdem »Opera Software« 2016 seine Browsersparte verkaufte, benennt sich das Unternehmen in »Otello Corporation« um. Das geht aus einem Bericht von Reuters hervor.

Von Mirko Lindner
Der Name Opera Software gehört zweifelsohne auch unter Linux zu den bekannteren. Das Unternehmen stellt bereits seit geraumer Zeit unter dem freien Betriebssystem und diversen anderen Plattformen einen alternativen Browser bereit, der sich durch diverse Alleinstellungsmerkmale von der Konkurrenz abheben will. Nachdem Opera Software allerdings die Browsersparte 2016 an Golden Brick Silk Road Equity Investment Fund II LLP verkaufte, konzentriert sich das Unternehmen allerdings auf alternative Bereiche. Das Konsortium rund um den Investmentfond Golden Brick Silk Road Fund Management LLP hatte 10,5 Mrd. Kronen (1,1 Mrd. Euro) für die Browsersparte geboten und knapp 1.000 der 1.560 Opera-Mitarbeiter übernommen. Eigenständig bleiben der Bereich Mediaworks (Werbung), Opera TV, Apps und Spiele.

Wie einem Bericht von Reuters entnommen werden kann, wird nun Opera Software seinen Namen ändern. Demnach wird das Unternehmen sich auch künftig auf die Entwicklung von Online-Anwendungen für Werbung, Telekomunikation und Spiele konzentrieren, allerdings unter dem Namen Otello Corporation firmieren. Ferner wird auch der aktuelle OPERA-Ticker auf der Börse in Oslo geändert werden. Wie dieser allerdings lauten wird, steht noch nicht fest. Als Grund wird die Unterscheidbarkeit der Firma genannt, die sich nun vollständig von ihrer Browser-Vergangenheit lösen wird und die Verbindung zu Opera und Opera Mini vollständig löst.

Medienberichten zufolge stand die Umbenennung bereits seit geraumer Zeit fest und war ein fester Bestandteil des Opera-Deals. Nachdem das neue Konsortium auch die Namensrechte an Opera kaufte, musste das alte Unternehmen auch den Namen anpassen. Wie Lars Boilesen, Sprecherin von Opera Software gegenüber TNW sagte, geht dieser Schritt auch aus den Vertragsunterlagen hervor.

http://www.pro-linux.de/news/1/25458/...rd-zu-otello-corporation.html  
28.02.18 09:13 #210 Katastrophale Zahlen
https://otello.cdn.prismic.io/...7cf7-496e-877a-539535f8061c_4q17.pdf

Wundert mich, dass der Kurs noch einigermaßen stabil bleibt – oder übersehe ich was?  

Bewertung:

28.02.18 10:09 #211 Sehe ich für Adcolony genauso
Zahlen sind für Adcolony noch schlechter als erwartet. Bemobi ist für mich das deutlich wertvollere Asset.
Halte nur noch einen kleinen Teil Opera/Otello, sehe den fairen Wert nur noch bei 3,5-3,7$/Aktie (Subjektiv natürlich). Kann sich auch deutlich nach oben ändern, falls Adcolony es in 2018 schafft die Kurve zu kriegen, aber auch nach unten falls bei Bemobi Probleme auftreten.

Bemobi weiter mit sehr starken Zahlen, höheres Opex für mehr Wachstum macht absolut Sinn bei den RE-Margen. Dafür rechne ich in 2018 wegen dem höheren Opex mit nur minimal ansteigendem Ebitda von Bemobi. Langfristig ein wirklich sehr interessantes Unternehmen.  

Bewertung:

28.02.18 10:50 #212 Wirklich miserable Zahlen
Wundert mich auch, dass sich die Aktie heute so gut hält. Opera/Otello war mit Abstand mein größter Griff ins Klo in den letzten Jahren. Dabei sah es hier vor einem Jahr wirklich gut aus. Das gehört aber leider auch mal dazu. Bin froh, dass ich nach den Q3-Zahlen die Reißleine gezogen habe.

Der Ausblick ist auch wenig bis nichtssagend. Man traut sich wieder keine konkrete Guidance zu. Nur, dass AdColony und Skyfire ein positives adj. EBITDA in 2018 und Bemobi beim Umsatz und adj. EBITDA zulegen werden. Damit wird auch 2018 wohl niemanden vom Hocker hauen.

Ich hatte mal 70-80 Mio adj. EBITDA in diesem Jahr erwartet. Aktuell sieht es eher nach 10-15 Mio adj. EBITDA aus. Otello wird bei mir jetzt endgültig von der Watchlist gestrichen.  

Bewertung:
1

25.03.18 19:07 #213 Gibt es noch investierte in Otello?
Ich fand die letzten Zahlen zwar auch nicht überragend, aber sehe immer noch deutliches Potential. Wenn man sich vor Augen hält dass alle Gesellschaften adj. Ebitda positiv sind und Bemobi seinen Gewinn steigern wird, sollte mindestens ein ebitda von 30mio rauskommen. Bemobi ist sicherlich das stärkste Asset. Ich finde bemobi rechtfertigt beinahe alleine den Enterprise Value. Außerdem hat man gerade erst mit dem internationalen roll out begonnen und da ist noch viel Potential, dass sich etwas zeitverzögert bemerkbar macht, wegen der anfänglichen Angebote.
Ad colony ist mit der realisierten annual opex rate auch kein klotz am bein mehr. Was mich Positiv stimmt ist, dass der programatic Anteil doch laufend steigt und dass man bei den top 500 apps einen Marktanteil von 20% hat.
Selbst bei gleichbleibendem Umsatz in den nächsten Quartalen sollte sich bereits ein eindeutig positives ebitda ausgehen.
Skyfire ist nicht wirklich ausschlaggebend.

Negativ wirken sich momentan jedenfalls die noch zu leistenden Überweisungen für die bemobi Übernahme aus . Ab 2020 ergibt sich hier hebel von ca 20mio $.
Ad colony muss jedoch zumindest keine rückläufigen Umsätze mehr ausweisen, dann kann es mit dem Aktienkurs wieder bergauf gehen.

Der hohe Cashbestand stimmt mich sehr positiv, dass man das momentane tief uberwindet und sich strategisch wieder besser ausrichtet. Selbst wenn man ad colony einstammpft gibt es sehr wenig downside wegen bemobi. Wichtig ist, dass ad colony kein cash mehr verbrennt.
 

Bewertung:
1

26.03.18 18:09 #214 2018
Hab irgendwo das 2018 verschluckt, sollte natürlich heißen, dass 2018 alle Gesellschaften adj. ebitda positiv sind ;)  

Bewertung:

27.03.18 09:12 #215 Bin hier auch noch teilinvestiert
habe leider mehrfach den Ausstieg verpasst. Und jetzt warte ich auf den Rebound. Im operativen Geschäft (Ad colony) sowie im Aktienkurs. Bemobi ist dabei natürlich ein wichtiger Hebel. Grundsätzlich sollte man dieses Jahr sehen ob der internationale roll out Früchte trägt.

Ich bleibe also weiterhin zwangsweise dabei. Nachkäufe kommen für mich aber nicht in Frage. Dafür hat das Unternehmen in der Vergangenheit zu viel Vertrauen zerstört.  
06.04.18 09:23 #216 Neue App in Kenia
http://www.operasoftware.com/press/releases/mobile/2018-03-12

Recht interessantes Geschäftsmodell durch die Fintech-Tochter "OPay".    
06.04.18 09:32 #217 Aber betrifft natürlich die verkaufte
Opera Einheit. Heißt Otello profitiert hier leider nicht.  
13.04.18 09:35 #218 Otello Corporation Says Filed A Claim Against.
Potential Sale of Vewd (Opera TV) Minority Stake
As reported to the market on December 20, 2016, Otello had completed the sale of the majority stake in the Vewd Software business (f/k/a Opera TV) (the “Company”) to Moore Frères & Co LLC (“MFC”), which today is the majority shareholder and controls the board of directors of the Company (the “Board”).

On February 20, 2018, Otello Corporation ASA (“Otello”) entered into a share purchase agreement (the “SPA”) for the sale of its remaining ownership stake (approximately 27-28.5%, depending on management options) in the Vewd Software business. The SPA contains certain conditions for completion, such as approval of the sale by the Board and a right of first refusal not being exercised.

Seven weeks after signing the SPA, MFC’s appointed directors on the Board have still not approved the proposed sale, despite Otello’s good faith participation in an unnecessarily extended approval process run by a sub-committee of the Board.

Otello has therefore today filed a claim with the High Court of Justice in England and Wales against MFC and the Company asking for an injunction and expedited trial to compel the Company (acting through its Board) to give its immediate approval to the transaction. The proceedings  have been served on both MFC and the Company.

We would add that until the Board has given its approval, Otello is unable to serve notice on the Company and MFC offering them the right of first refusal.

Although Otello remains positive with respect to being able to complete the transaction prior to the long-stop date in the SPA, which has been extended to 20 June 2018, no assurances can be given that such completion will take place.

Further announcements will be given if and when new material information is available.

Petter Lade, CFO
Phone: +47 91143878
E-mail: petterl@otellocorp.com
 
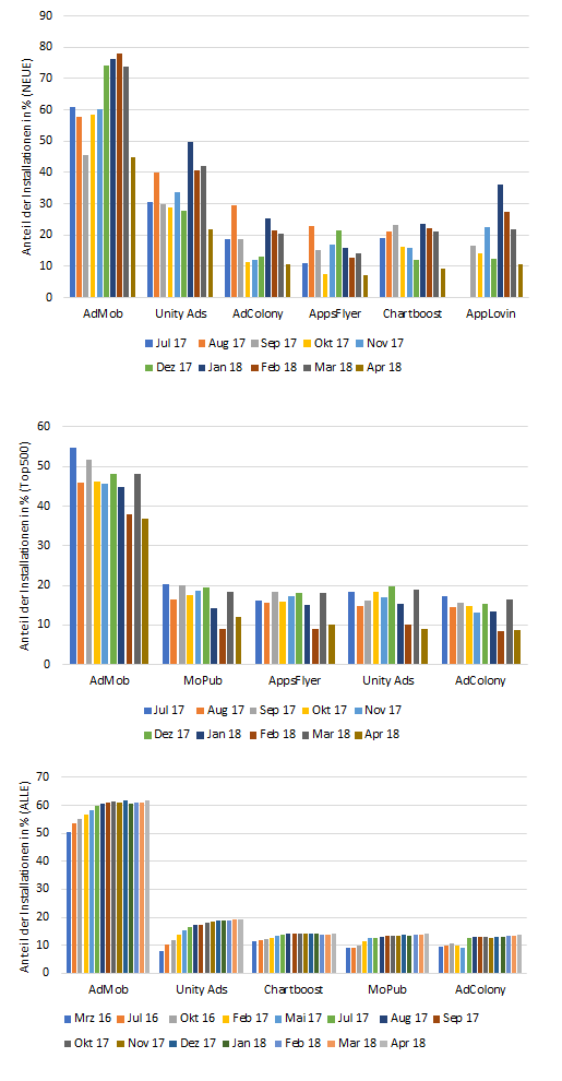
15.04.18 23:50 #219 AdColony mal wieder...

Seit meiner letzten Auswertung im November (#186) ist wieder etwas Zeit vergangen.
Die gewohnten 3 Grafiken anbei: die Verbreitung von AdColony als eingesetzte Werbebibliothek bei den neuen, beliebtesten und gesamten Apps im Google Play Store.

Bei den gesamten Apps lässt sich ein leichter Zuwachs beobachten (von 12,7% im Nov. auf 13,63% heute), der teilweise höher ist als von der Konkurrenz.
Bei den erfolgreichsten Apps (Top 500) ist der Trend eher negativ in den letzten Monaten, während bei den neuen Apps ein gewisser Anstieg zu Jahresbeginn zu beobachten ist, der aber bei der Konkurrenz ähnlich ist.

Quellen zur Auswertung:
[1] https://www.appbrain.com/stats/libraries/ad
[2] https://www.appbrain.com/stats/libraries/ad?list=new
[3] https://www.appbrain.com/stats/libraries/ad?list=top500

 

Angehängte Grafik:
adcol_1504.png (verkleinert auf 99%) vergrößern
adcol_1504.png
02.08.18 23:43 #220 AdColony-Auswertung nach Q2

Auf Anfrage eine aktualisierte Auswertung in gewohnter Manier.

Hinsichtlich der Verbreitung von AdColony auf Android-Geräten ist eine Stagnation bei allen Apps, 
ein leichter Anstieg bei den erfolgreichsten Apps und ein Rückgang bei den neuen Apps, zu beobachten.

 

Angehängte Grafik:
adcol_07.png
adcol_07.png
13.11.18 14:53 #221 seh ich das richtig?
jetzt sinkt sogar der Umsatz bei Bemobi um 10% im Vergleich zum Vorjahresquartal.

insgesamt echte Horrorzahlen.

hatte überlegt, bei 1,3 € einzusteigen, weil man da charttechnisch unterstützt ist und die 200 Mio MarketCap Grenze erreicht. Aber ich glaub, ich lass die Finger davon. Wäre ja reine Spekulation auf den Turnaround.
-----------
the harder we fight the higher the wall
14.11.18 09:34 #222 Das siehst du richtig.
Absolutes Trauerspiel hier.  
14.11.18 10:52 #223 wobei der Kurs kaum noch negativ reagiert
Vielleicht ja ein erstes Zeichen der Stabilisierung.

Aber wie gesagt, aktuell seh ich keinen Grund für einen Einstieg, da jetzt selbst Bemobi schwächelt.
-----------
the harder we fight the higher the wall
14.11.18 13:58 #224 Aber Bemobi soll ja (wohl) verkauft werden

Bemobi wurde ja durch Währungseinflüsse stärker auf der Umsatzseite (wie bereits in Q2)  „ausgebremst“. Diese sollen sich ja laut Präsi in Q4 umkehren. D.h. ca. 55 mio. USD Umsatz und rund 22 mio. USD EBITDA sollten möglich sein.  Sofern ich es beim Call richtig verstanden habe, kann man künftig von „hohen einstelligen“ Wachstumsraten ausgehen (ergo würde ich mal für 19 von ca 59 Mio. mio. USD Umsatz und rund 27/28 Mio. USD EBITDA ausgehen).

Preisfrage : Was ist Bemobi vor diesem Hintergrund und der aktuellen Börsenlage wert ?

Wenn ich es richtig sehe, beträgt der aktuelle EV von Otello ca. 170 Mio. USD (> 140 Mio. shares x Kurs 12,25 NOK  = > ca. 200 Mio. USD – 30 Mio. USD Cash per 30.9.18)
 

Bewertung:
1

03.12.18 16:22 #225 So, bin mal mit ner ersten kleinen Position dri.
Bemobi soll verkauft werden und darin liegt im Moment wohl die größte Fantasie.  Des Weitern fand ich die Q&A Session zum Q3 ganz in Ordnung. Erste Erholungstendenzen bei Adcolony sind wohl absehbar...obwohl sie das ja auch schon seit Monaten propagieren.

Außerdem hat sicher der Hedge Funds "Sand Grove Capital Management LLP" in den letzten Wochen 15,3% der Aktien gesichert. Das sollte den Kurs halbwegs nach unten absichern und auch den nötigen Druck beim Management machen,  doch endlich mal den Laden wieder in die Spur zu setzen.

Das Management hat im November auch ein paar Aktien gekauft...vielleicht ist der Boden ja tatsächlich gefunden.  

Bewertung:
1

Seite:  Zurück   6  |  7  |  8  |    10    von   10     
Antwort einfügen - nach oben
Lesezeichen mit Kommentar auf diesen Thread setzen: